contoh format minit mesyuarat
Format minit mesyuarat. Berikut disertakan cara buat dan contoh minit mesyuarat yang berkualiti lengkap dan mudah beserta maklumat format dan contoh.
Contoh Minit Mesyuarat Persatuan Syarikat Kerajaan Format Word
Minit mesyuarat hendaklah mengandungi perkara-perkara berikut.
. Ini kerana dokumen ini. Tandai sebagai konten tidak pantas. Mengikut kamus dewan edisi keempat minit adalah merupakan satu catatan be.
PENYEDIAAN MINIT MESYUARAT. Contoh minit mesyuarat persatuan syarikat kerajaan. Doc contoh format minit mesyuarat wawa wawa academia edu.
Kebiasaannya agak susah dan terpaksa luangkan banyak masa dengan hanya membuat draf dan lengkapkan minit. Format yang selalu digunakan oleh pelbagai agensi jabatan dan kementerian adalah seperti berikut. Minit mesyuarat jawatankuasa sambutan hari keluarga kali ketiga 2015 syarikat salman co.
Dewan gemilang hotel pan aisa hadir. BKP 304 - MESYUARAT MENYEDIAKAN MINIT MESYUARAT alizaridwan. Contoh minit mesyuarat contoh minit mesyuarat persatuan syarikat kerajaan.
Setiap mesyuarat sudah pasti mempunyai minit mesyuarat yang dicatatkan oleh setiausaha atau pihak-pihak lain yang bertanggungjawab untuk mencatat minit tersebut. Contoh format minit mesyuarat Sharifah Al-bukhari. Unduh sebagai DOCX PDF TXT atau baca online dari Scribd.
Simpan Simpan CONTOH Minit Mesyuarat RINGKAS. Format Contoh-Contoh Panduan. Pandungan penulisan minit mesyuarat mengikut format yang sebenar.
Sertalaras bahasanya bersifat formal dengan menggunakan. Penulisan Minit Mesyuarat. Doc contoh format minit.
Bagaimana untuk meningkatkan keuntungan dan membantu. Saturday may 7 2022 add comment edit. Penulisan minit mesyuarat iyatieku ayune.
Contoh Format Terkini Minit Mesyuarat 2022. Penulisan minit mesyuarat hendaklah ringkas tepat dan padat. Format tidak terlalu berbeza tidak kira anda mesyuarat anda adalah mesyuarat panatia subjek mesyuarat pibg meeting.
Berikut disertakan cara buat dan contoh minit mesyuarat yang berkualiti lengkap dan mudah beserta maklumat format dan contoh. Minit mesyuarat jawatankuasa sambutan. Senaraikan nama ahli-ahli yang hadir mesyuarat bermula dengan nama Pengerusi.
Nik Aliff Nikaliff1725 Profile Pinterest
Contoh Format Minit Mesyuarat Pdf
Contoh Minit Mesyuarat Universiti Kebangsaan Malaysia Ukm Kelab Pencinta Alam Sekitar Minit Studocu
15933414 Contoh Minit Mesyuarat
Doc Contoh Format Minit Mesyuarat Wawa Wawa Academia Edu
Contoh Minit Mesyuarat Contoh My
Penulisan Minit Mesyuarat Format Contoh Contoh Panduan
Contoh Minit Mesyuarat Terkini 2022 Untuk Format Sekolah
Contoh Minit Mesyuarat Persatuan Syarikat Kerajaan Format Word
Pdf Format Penulisan Minit Mesyuarat Intan Nurashiqin Academia Edu
Contoh Minit Mesyuarat Mudah Dan Lengkap Jawatan Kosong
Penulisan Minit Mesyuarat Format Contoh Contoh Panduan
Contoh Minit Mesyuarat Terkini 2022 Untuk Format Sekolah
Format Minit Mesyuarat Yang Betul Pendidik2u
Format Minit Mesyuarat Sumber Pendidikan Format Minit Mesy
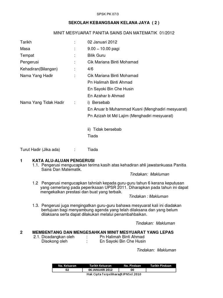
1 Pengesahan Minit Mesyuarat Yang Lalu Minit Mesyuarat Panitia Sains Kali Pertama

